Dieser Konverter berechnet den Freiraumpfadverlust (FSPL) eines HF-Signals zwischen einer Sendeantenne und einer Empfangsantenne. FSPL quantifiziert die Signaldämpfung als Funktion von Entfernung und Frequenz und berücksichtigt dabei Antennengewinne.
Formel
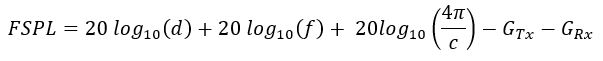
FSPL(dB) = 20 × log 10 (d) + 20 × log 10 (f) + 92,45 – G Tx – G Rx
Erklärung der Formel
Die Formel verwendet den Abstand zwischen den Antennen (d, in km) und die Signalfrequenz (f, in GHz). Wir wenden 20 log10 auf jeden Parameter an, um die Verhältnisse in Dezibel umzurechnen. Der Begriff 92,45 entspricht der Umrechnungskonstante von Einheiten und der Lichtgeschwindigkeit im freien Raum. Anschließend werden die Antennengewinne G Tx und G Rx subtrahiert, um den Nettoverlust zu erhalten.

Verwendungsmöglichkeiten
- Bewerten Sie die erwartete Dämpfung eines HF-Signals bei freier Übertragung ohne Hindernisse.
- Entwerfen und dimensionieren Sie Funkverbindungen oder drahtlose Netzwerke über große Entfernungen.
- Vergleichen Sie verschiedene Antennenkonfigurationen und Frequenzen, um die Abdeckung zu optimieren.
- Sagen Sie die Leistung voraus, die für einen zuverlässigen Empfang in Kommunikationssystemen erforderlich ist.