Ce convertisseur permet de calculer les dimensions principales d’une antenne patch micro-ruban à partir de la constante diélectrique du substrat, de son épaisseur et de la fréquence de résonance souhaitée. Il fournit la largeur du patch ainsi que sa longueur effective corrigée, ce qui aide à concevoir des antennes adaptées aux besoins de transmission et réception.
Formule
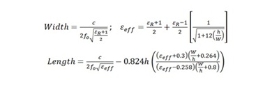
Largeur : W = (c / (2 × f₀)) × √(2 / (εr + 1))
Constante diélectrique effective : ε_eff = (εr + 1) / 2 + ((εr – 1) / 2) × (1 + 12 × h/W)^(-0.5)
Longueur effective : L_eff = c / (2 × f₀ × √ε_eff)
Correction de longueur : ΔL = 0.412 × h × ((ε_eff + 0.3)(W/h + 0.264)) / ((ε_eff – 0.258)(W/h + 0.8))
Longueur réelle : L = L_eff − 2 × ΔL
Explication de la formule
La largeur W est calculée pour obtenir une impédance adaptée en fonction de la constante diélectrique du substrat. La constante diélectrique effective ε_eff tient compte de l’effet des franges du champ électromagnétique autour du patch. La longueur effective L_eff correspond à la longueur physique nécessaire pour atteindre la fréquence de résonance f₀. Le terme ΔL ajuste la longueur pour compenser les effets de bord, donnant ainsi la longueur réelle L à fabriquer.

Utilisations
- Dimensionner les antennes patch micro-ruban pour applications Wi-Fi, Bluetooth ou RFID.
- Évaluer l’effet du substrat et de son épaisseur sur la fréquence de résonance.
- Optimiser la conception des circuits RF intégrés ou des modules d’antennes embarqués.
- Préparer des prototypes précis avec des mesures de largeur et de longueur corrigées pour un rendement optimal.