Ce convertisseur permet de déterminer la largeur d’une piste microstrip à partir d’une impédance caractéristique cible Z0, de l’épaisseur du trace (t), de l’épaisseur diélectrique (H) et de la constante diélectrique relative (εr). Il fournit une méthode rapide pour convertir les spécifications électriques en dimensions physiques de la ligne microstrip.
Formule
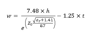
W = (7.48 × H) / exp(Z0 × √(εr + 1.41) / 87) − 1.25 × t
Explication de la formule
La formule utilise la constante diélectrique relative εr pour calculer la capacitance effective de la ligne. L’exponentielle dans le dénominateur ajuste la largeur selon l’impédance cible Z0, tandis que le terme soustractif 1.25 × t prend en compte l’épaisseur physique du trace. Le résultat final W correspond à la largeur nécessaire pour obtenir l’impédance désirée.

Utilisations
- Dimensionner avec précision les lignes microstrip pour PCB à haute fréquence.
- Convertir rapidement les exigences d’impédance en valeurs physiques pour la fabrication.
- Évaluer l’impact des variations de H, t ou εr sur l’impédance finale.
- Faciliter le design RF et les calculs d’intégrité de signal dans les circuits imprimés.