Ce convertisseur permet de déterminer l’impédance caractéristique Z₀ et le retard de propagation d’une ligne microstrip en fonction de ses dimensions et de la constante diélectrique relative du substrat. Il utilise des corrections empiriques et les formules de Hammerstad pour fournir des résultats précis adaptés aux conceptions RF et PCB.
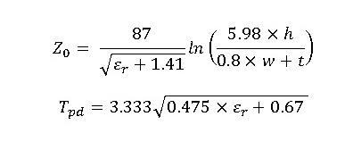
Formule
Δraw = t × (1 + 1/εr) / (2π) × ln(4e / √( (t/H)² + (1/π)² / ( (W/t) + 1.1)² ))
Weff = W + Δraw × facteur
εeff = fonction(H, Weff, εr)
Z₀ = fonction(εeff, Weff, H)
TD = √(εeff) / c × facteur
Explication de la formule
La correction Δraw ajuste la largeur effective de la ligne pour compenser l’épaisseur du trace. La largeur effective Weff est ensuite utilisée pour calculer la permittivité effective εeff via la formule de Hammerstad. L’impédance Z₀ est dérivée à partir de εeff et Weff. Enfin, le retard de propagation TD exprime la vitesse de propagation du signal à travers la ligne microstrip.

Utilisations
- Dimensionner des lignes microstrip pour des applications RF et haute fréquence.
- Évaluer l’effet des dimensions et de la constante diélectrique sur l’impédance caractéristique.
- Optimiser les conceptions de circuits imprimés pour minimiser les pertes et les réflexions.
- Assurer une correspondance précise entre les lignes et les composants pour un transfert de signal efficace.